

С 7 по 31 июля в Башкирии будет временно приостановлено вещание теле- и радиоканалов, входящих в первый и второй мультиплексы (РТРС-1 и РТРС-2). Согласно информации от пресс-службы Российской телевизионной и радиовещательной сети, это связано с проведением плановых профилактических мероприятий, сообщает "Республика Башкортостан".
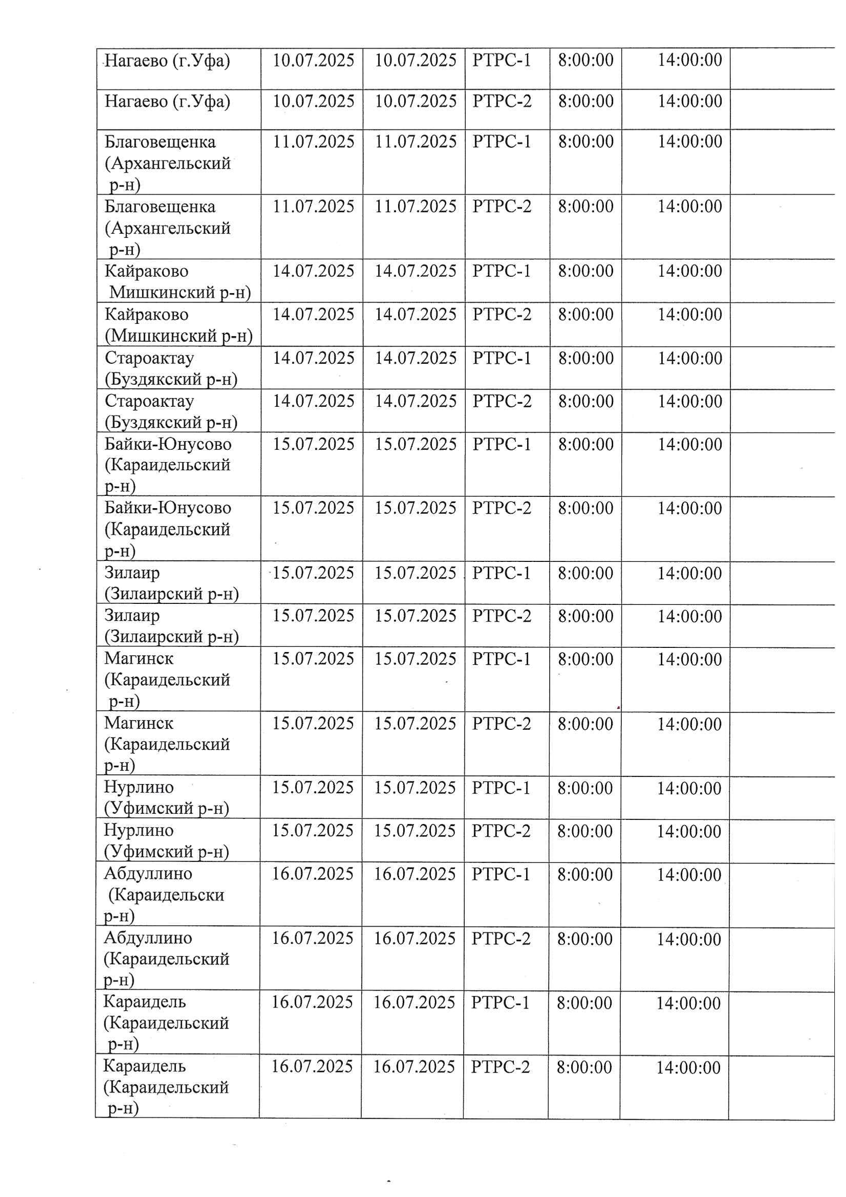
Продолжительность перерыва в трансляции в каждом населенном пункте региона составит от шести до девяти часов. Подробный график отключений доступен для ознакомления ниже.
Фото: Евгений Соколов.







